
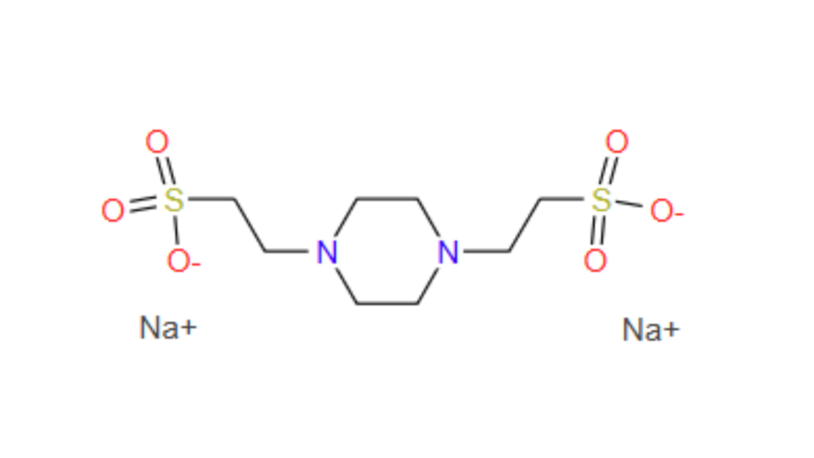
Pipes {{0}} Na weißes Pulver oder kristallines Pulver, Cas Nr. Säure-Base-Indikator-Farbänderung pH-Bereich 6. 1 - 7. 5, Säurekoeffizient (PKA) 6.8 (bei 25 Grad).
APPLICATION
Pipes -2 Na wird verwendet, um Puffer für Biomoleküle vorzubereiten und den pH -Wert der Lösungen anzupassen. In der molekularen Biologie wird es häufig als eine der Pufferkomponenten für PCR -Reaktionen (Polymerasekettenreaktion) verwendet. Pipes -2 na wird auch in anderen Labortechniken verwendet, wie z. B. die Herstellung von DNA -Polymerasen und Restriktionsenzymen.

Lagerung und Transport
Inertatmosphäre, Raumtemperatur, von Oxidationsmitteln fernhalten


Qualitätsstandard
|
Artikel |
Norm |
|
APpearance |
Weißes kristallines Pulver |
|
Assay |
99.0%-101.0% |
|
SOlubility (20 % AQ.) |
Klare farblose Lösung |
|
LOSS beim Sterben |
Weniger als oder gleich 3. 0% |
|
PH (1 % Vorquartal) |
9.2-10.0 |
|
ULtraviolettabsorption /260 nm (0. 1 m aq.) |
Weniger als oder gleich 0. 04 |
|
ULtraviolettabsorption /280 nm (0. 1 m aq.) |
Weniger als oder gleich 0. 02 |
MAketing

Unsere Produkte sind in mehr als 60 Ländern und Regionen, einschließlich Nordamerika, Westeuropa, Südostasien, Mittel- und Südamerika usw., gut verkauft. Wir haben langfristige und stabile kooperative Beziehungen zu Pharmaunternehmen in Europa, den USA, Griechenland, Deutschland, Iran, Russland, Südkorea, Indien und anderen Ländern aufgebaut.
Beliebte label: Pipes -2 na 76836-02-7, China Pipes -2 na 76836-02-7 Hersteller, Lieferanten, Biochemische Reagenzien für die Agarosegelelektrophorese, Biochemische Reagenzien für das Labor, Biochemische Reagenzien für die native Seite, Biochemische Reagenzien für die Polyacrylamid -Gelelektrophorese, Biochemische Reagenzien für die Forschung, Hochwertige biochemische Reagenzien







